상세 컨텐츠

본문 제목

외란 관측기 설계 (1) - 전차원 관측기

제어기설계

by Zin9 2023. 1. 8. 20:12

본문

728x90

이번 시간에는 외란 관측기를 설계하기 위한 이론적인 접근을 할 것이다.

 

외란 관측기를 왜 설계하는가?

 

모터가 동작하는 동안에는 수많은 외란이 입력된다.

점성마찰, 쿨롱마창, 감속기 마찰, 중력 등 다양한 형태의 외란이 토크에 입력되버린다.

이러한 외란 토크로 인해 실제보다 낮은 토크가 발생하게 되어 속도를 작게 만들고, 심지어 지령에 대한 추종이 안 되는 경우가 발생한다.

이러한 상황 속에서도 모터의 관성모멘트, 마찰계수 등 최소한의 정보만 알고 있다면, 외란을 추정해서 토크 지령을 보상해줄 수 있다.

이러한 역할을 하는 것이 외란 관측기이다.

 

"외란 관측기를 통해 추정된 토크를 전향보상해준다"라고 생각하면 된다.

 

외란 관측기를 설계하기 위해 상태 관측기에 대한 이론 설명을 하도록 한다.

 

상태 관측기란 무엇인가?

위치(각도)를 가지고 위치, 속도, 가속도, 토크를 추정하는 것이다.

그렇다면, 상태 관측기를 사용하는 이유는 단 한 가지이다.

바로 "돈" 때문이다.

토크센서, 속도센서, 가속도센서를 사용하여 모터의 실제 물리량을 측정하면 가장 좋지만, 돈이 많이 든다.

따라서, 위치 정보와 입력된 파라미터로 위치, 속도, 토크의 물리량을 추정한다.

이것이 바로 상태 관측기이다.

 

상태 변수를 추정하기 위한 방법으로, 시스템의 상태 방정식을 그대로 사용하는 경우가 있다.

이 방법으로 앞으로의 상태 관측기를 설계할 것이다.

 

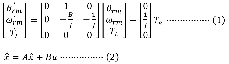
먼저 전동기의 기계시스템은 그림 1와 같다.

 

<그림 1. 전동기의 기계시스템>

 

다음으로 시스템의 상태 방정식을 살펴보자.

식(1)으로 시스템을 표현할 수 있다. 즉, 제어 입력은 발생 토크이다.

 

 

식(2)은 시스템의 상태 변수 x의 좌변은 추정치의 미분값을 의미한다.

시스템의 부하변동이 심하지 않다면, 시스템의 행렬 A, B는 일정하며 알고 있는 값이다.

시스템 입력 u측정값으로 나오는 값이니 또한 알고 있는 값이다.

따라서, 상태변수의 초기값 x(0)을 알고 있다면, 만족스러운 관측기를 구성할 수 있다.

 

즉, 시스템의 행렬 A, B이 일정하고, 변동이 크지 않는 상태에서만 상태 관측기를 사용해야 한다.

 

그 다음으로, 관측기의 동특성 분석을 위해 추정된 상태의 오차를 나타내면 식(3)와 같다.

안정된 시스템의 경우 추정 오차인 식(3)은 0으로 수렴한다.

 

오차의 수렴 특성은 행렬 A의 고유값에 의해 결정되며, 행렬 A의 고유값의 절대값이 작은 경우는 수렴 속도가 매우 낮아지게 된다.

 

시스템 행렬 A의 고유값을 살펴보자.
속도 제어기 설계 (2)의 파라미터를 사용하여 행렬 A의 고유값을 살펴보자.
행렬 A는 기본 파라미터로 만들었고, 행렬 B는 점성마찰계수를 3배 곱한 행렬이다.

행렬 A와 B의 고유값은 각각 -28.9, -86.8이다.
점성마찰계수가 낮은 경우(점성마찰토크가 낮은 경우)는 수렴 속도가 낮아지게 된다.
즉, 기계 시스템의 마찰과 시스템의 수렴 속도와 반비례한다.

 

 

위와 같이 시스템의 수렴 속도가 낮아지면 상태 관측기의 성능은 낮아지게 된다.

상태 추정 오차를 빠르게 0으로 수렴하여 의미 있는 상태 추정을 하기 위해서는, 추정된 상태와 측정된 상태를 궤환하여 이오차로부터 상태추정 모델을 연속적으로 수정해나가는 작업이 필요하다.

이를 그림 2에 나타냈고, 식(6)으로 표현할 수 있다.

 

<그림 2. 폐루프 관측기>

 

식(6)을 다시 쓰면 식(7)와 같다.

L은 3x1 행렬이고 비례이득으로써 설계자가 설정하는 값이다.

w는 시스템의 외란을 나타내는 벡터, G1은 외란이 상태 변수 추정에 미치는 영향을 나타내는 벡터를 의미한다.

식(6)의 특성 방정식을 식(8)으로 나타낼 수 있다.

 

이 때, 행렬 L을 행렬 (A-LC)가 안정되고 어느정도 빠르게 수렴할 수 있는 근을 가지도록 설계한다면, 상태변수 x의 추정치는 외란 w가 없은 경우, 초기치와 관계없이 0으로 수렴할 것이다.

 

 

 

 

 


출처

1. 전기기제어론(설승기 저)

 

728x90

관련글 더보기