속도 제어기 설계 (1) - 모터 파라미터
전류 제어기를 설계했으니 이제 속도 제어기를 설계해보자. DQ변환 때메 골머리를 먹었는데 어느정도 해결이 되어 글을 다시 써본다. 속도 제어기 설계는 (2) 장부터 보길 바란다. 이번 시간에는
zin9.tistory.com
속도 제어기 설계 (3) - PI 게인 조정
속도 제어기 설계 (2) - 설계 이론 이번 시간에는 속도 제어기의 설계 이론에 대해 알아보고자 한다. Simulink로는 속도 제어기까지만 설계할 것이다. 굳이 위치 루프를 하나 더 만들어서 연산 시간
zin9.tistory.com
이번 시간에는 속도 제어기의 설계 이론에 대해 알아보고자 한다.
Simulink로는 속도 제어기까지만 설계할 것이다.
굳이 위치 루프를 하나 더 만들어서 연산 시간을 오래 걸리게 하고 싶지 않기 때문이다.
이번 시간에는 설계 이론에 대해 설명하고자 한다.
PI 게인값의 설계 방법, 주파수 응답 등에 대해 알아본다.
먼저 그림 1을 보면 속도 제어기가 포함된 제어 시스템이 나와있다.
전류 제어기가 잘 설계 1차 시간 지연 요소로 본다면, 그림 2로 간략화할 수 있다.

속도 제어기만 본다면 다음과 같이 나타낼 수 있다.
속도 제어기는 PI 제어기로 나타낸다.

잘 설계된 제어기는 피드백속도가 속도지령을 잘 추종하면서 대역폭이 넓은 시스템이다.
따라서, 전류제어기를 설계할 때와 동일하게 이 시스템은 Low Pass Filter의 주파수 응답과 비슷한 응답성을 보여야 한다.
즉, 속도제어기의 P게인과 I게인을 구하면 다음과 같다.

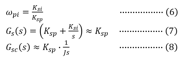
이 때, fsc는 속도 제어기의 차단주파수[Hz]이다.
주파수 응답을 보면 그림 3처럼 LPF 형태로 나타난다.
이렇게 보면 시스템은 잘 설계되었다고 볼 수 있다.

하지만 실제 시스템은 이와 같게 나타나지 않는다.
마찰계수 C는 부하의 노화 상태, 부하 접속 등에 따라 많은 차이를 보이며, 실제로는 외란 토크까지 있기 때문에 해석이 어려워진다.
따라서, 마찰토크를 외란 토크와 함께 포함하여 해석을 실시하고, 게인값을 조정해야 한다.
왜냐하면 관성모멘트 J는 산업용 로봇처럼 시스템의 부하변동이 심한 경우가 아니라면, 계산치와 거의 동일하다고 간주하기 때문이다.
그렇다면 그림 4처럼 설계하여 다시 해석하도록 하자.

그림 4의 개루프 전달함수를 구하면 다음과 같다.

전류제어기의 절점 주파수는 속도제어기의 절점 주파수보다 훨씬 높으므로 1로 볼 수 있고, 식 (5)로 나타낼 수 있다.
비례적분 제어기의 절점 주파수는 식(6)과 같고, 이 주파수대역이 속도 제어기의 주파수 대역보다 훨씬 작다면, 식 (7)와 같이 근사화할 수 있다.
따라서, 속도 제어기의 개루프 전달함수를 식(8)와 같이 근사화할 수 있는데, 이 전달함수의 크기를 1이 되도록 결정하면 속도 제어기의 주파수 대역폭은 ωsc가 된다.

속도 제어기의 개루프 전달함수를 보드선도로 나타내면, 그림 5와 같다.

따라서, 속도 제어기의 P게인은 식(9)로 나타낼 수 있고, PI제어기의 절점 주파수는 속도 제어기의 절점 주파수보다 충분히 작아야 한다는 조건에 따라 식(10)으로 결정할 수 있다.
따라서, I게인은 식(11)와 같다.

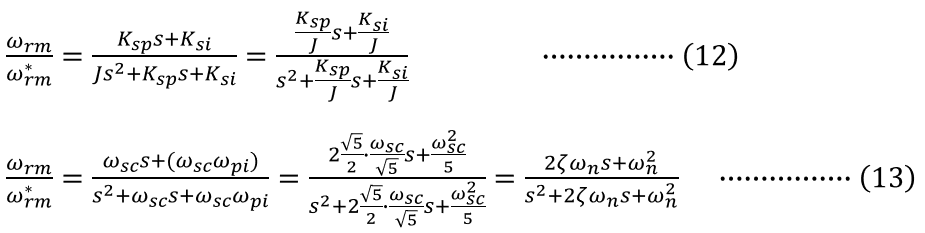
이제 식(5)를 사용하여 속도 제어 시스템 전체의 전달함수를 구하면 식(12)와 같다.

이와 같이 설계된 시스템은 식(12)와 식(13)으로 나타낼 수 있다.
식(13)을 보면, 이 시스템은 댐핑 계수가 (√5)/2로 설계되었기 때문에, 오버 댐핑을 나타내게 된다.
지난 시간에 소개한 모터를 기반으로 설계한 모델(그림 6)과 스텝응답(그림 7)을 보면 다음과 같다.



식(11)을 사용한 전달함수에서는 오버댐핑이 나타나게 된다. 그래서 I게인은 그대로 둔 채, P 게인만 값을 증가하면 그림 7의 오른쪽과 같이 오버슈트가 줄어든다.
| 외란 관측기 설계 (1) - 전차원 관측기 (0) | 2023.01.08 |
|---|---|
| 속도 제어기 설계 (3) - PI 게인 조정 (4) | 2023.01.08 |
| 속도 제어기 설계 (1) - 모터 파라미터 (4) | 2023.01.08 |
| 수식 및 단위 정리 (0) | 2022.12.31 |
| 전류제어기 설계 (2) (0) | 2022.12.22 |