속도 제어기 설계 (2) - 설계 이론
이번 시간에는 속도 제어기의 설계 이론에 대해 알아보고자 한다. Simulink로는 속도 제어기까지만 설계할 것이다. 굳이 위치 루프를 하나 더 만들어서 연산 시간을 오래 걸리게 하고 싶지 않기 때
zin9.tistory.com
지난 시간에는 속도제어기 설계와 PI 게인값을 설정하는 법, 이론적인 내용을 다뤘다.
속도 제어기에는 오버슈트가 있는 상태이므로, 이를 조절하는 방법에 대해 알아보고자 한다.
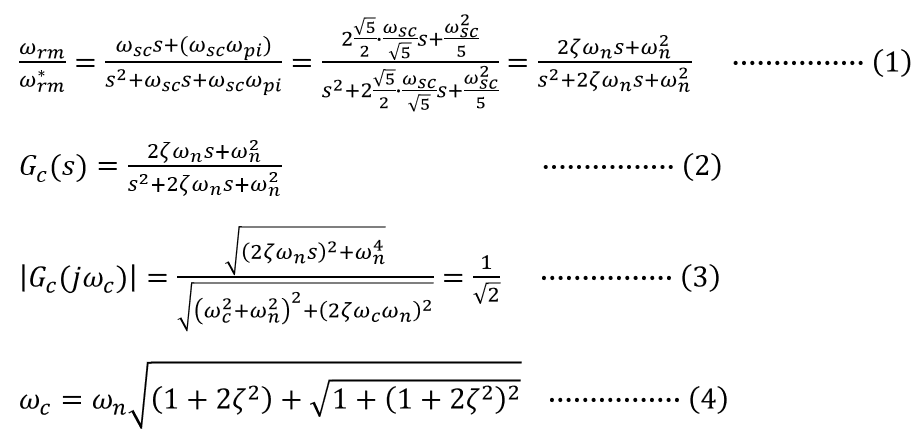
지난 시간에 식(1)이 유도되는 것을 확인했으며, 이번 시간에는 식(2)로 절점 주파수를 계산하고자 한다.
즉, 주파수 응답에서 -3[dB]가 되는 절점 주파수를 계산할 것이다.
전달함수의 크기가 0.707이 되는 주파수가 절점 주파수 ωc가 되므로 식(3)을 계산하면 식(4)처럼 값을 얻을 수 있게 된다.

따라서, 댐핑계수 ζ를 조절함으로써 이 시스템의 절점 주파수가 결정된다.
댐핑계수를 반영하여 PI게인을 다시 정리하면 식(5)와 식(6)으로 표현할 수 있다.

댐핑계수 ζ를 조절한다는 것은 무엇을 의미할까?
식(1)에 의하면 댐핑계수 ζ는 √(ωsc/ωpi)/2와 같다.
즉, 댐핑계수를 조정한다는 것은 속도 제어기와 PI 제어기의 절점 주파수의 비를 조절한다는 것이다.
댐핑계수가 작아지면 두 절점 주파수가 가까워질 것이고, 반대로 댐핑계수가 커지면 두 절점 주파수는 멀어지게 된다.
댐핑계수가 어떤 영향을 주는지 시뮬레이션으로 알아보자.
다음의 데이터를 바탕으로 시뮬레이션을 해보자.
표 1의 데이터를 바탕으로 그림 1과 같이 설계하여 비교할 것이다.
그림 1에 전달함수가 2개가 있다.
위쪽의 전달함수는 표 1의 데이터로 설계했으며, 아래쪽의 전달함수는 댐핑계수를 조절한 전달함수이다.
지난 시간에도 소개했다시피 댐핑계수 ζ를 √(5)/2로 설계하면 두 전달함수의 응답은 동일하다.


댐핑계수를 본래 값보다 작고, 크게 하여 스텝 응답을 보면 그림 2와 같다.
(완전한 스텝 응답은 아니지만 그냥 오버슈트만 보자..)
왼쪽부터 (ωsc/ωpi)의 비가 5, 3, 8배인 경우를 나타낸다.
댐핑계수가 커졌을 때, 즉 속도 제어기와 PI 제어기의 절점 주파수가 멀어질수록 시스템의 오버슈트는 줄어들게 된다.

보드선도로 응답을 분석해보자.
그림 3을 보면 댐핑계수가 높아질수록 오버슈트가 줄어드는 것을 볼 수 있다.

| 피드포워드 제어기 설계 (1) - 이론 설명 (2) | 2023.10.29 |
|---|---|
| 외란 관측기 설계 (1) - 전차원 관측기 (0) | 2023.01.08 |
| 속도 제어기 설계 (2) - 설계 이론 (2) | 2023.01.08 |
| 속도 제어기 설계 (1) - 모터 파라미터 (4) | 2023.01.08 |
| 수식 및 단위 정리 (0) | 2022.12.31 |