약계자 제어 또는 약자계 제어라고 Field Weekening Control에 대해 알아보자.
왜 자계(Field)를 약하게 하는 것인가?
바로 D축 전류를 이용하기 때문에 자계(Field)가 약해지기 때문이다.
아래에서 알아보도록 한다.
약계자 제어를 이해하기 위해서 "전류제한원"과 "전압제한원"에 대해 알아야 한다.
그리고 "MTPA"와 "MTPV"이라는 용어도 나오니 같이 알아두자.
먼저 전류제한원에 대해 알아보자.
어떻게 전류가 제한된다는 말일까?
우선 모터 제조사로부터 속도-토크 특성으로부터 전류가 제한되는 "최대 전류"를 얻을 수 있다.
파나소닉 사의 "MSMF092L1" 모터를 예시로 들어본다.

이 곡선으로 얻을 수 있는 정보는 다음과 같다.
1. 3800[rpm] 이하로 동작할 때 사용 가능한 최대 토크는 9.55[Nm]이다.
2. 최대 속도인 5000[rpm]으로 동작할 때 사용 가능한 최대 토크는 4.0~5.5[Nm]이다.
3. 연속으로 동작할 때는 최대 토크로 3.36[Nm] 이하를 권장한다.
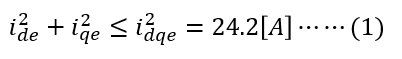
최대 전류는 17.1[Arms](=24.2[Ao-p]/√2)이다.
파나소닉 모터에서 17.1[Arms]는 선전류를 의미한다.
그리고 모터 결선은 Y결선으로 되어 있으므로, "상전류 = 선전류"이다.
따라서, 모터의 상전류의 최대 순시치는 24.2[A]이고, 이 값이 전류제한원의 최대 크기가 된다.
그림 2는 이 값을 토대로 한 전류제한원이다.
수식으로 표현하면 다음과 같다.


여기에 개념이 하나 더 들어간다면, MTPA이다.
PMSM은 두 종류가 있다.
SPMSM은 D축 전류를 0으로 한 채 Q축 전류 값만 올리는 반면,
IPMSM은 D축 전류를 적절히 인가하여 단위 전류당 최대 토크를 발생시키도록 하고 있다.
바로 MTPA(Max Torque Per Ampere) 기법이다.
이론과 수식에 근거한 그래프를 그림 3으로 나타낸다.
0[A]부터 최대 전류인 24.2[A]에 도달할 때까지 단위 전류당 최대 토크를 발생하는 경로를 나타낸다.
IPMSM도 D축 전류를 0으로 해도 제어에 문제는 없겠지만, 효율이 낮아질 것이다.

D축 전류는 왜 음수인가?
다음 글에서 소개할테지만, 전압제한원의 중심은 -D축에 위치하고 있다.
한계 속도에 다다랐을 때 '속도를 더 높이기 위해' D축 전류를 인가하여 '약계자 제어'를 한다.
그렇다면 D축 전류는 왜 음수로 하는 걸까?
이는 전압제한원과 관련있다.
(전압제한원은 다음 글에서 소개한다.)
전압제한원의 수식에 따르면 최대 운전 속도가 높아질수록 원의 크기는 줄어들게 된다.
그래서 D축 전류를 양의 값으로 입력하면 속도를 높이기는 커녕 낮은 속도로 운전하게 된다.
그리고 MTPA 곡선과도 연속되지 않을 것이다.
약계자제어를 언제 사용하는가?
바로, '속도를 더 높이기 위해서'이다.
전류제한원으로 인해 최대로 사용할 수 있는 전류의 크기는 정해져 있다.
전류가 제한되므로 최대 토크도 제한되어 있다.
하지만, 약계자 제어를 사용하면 토크를 다소 포기하고 속도를 높일 수 있다.
약계자 제어는 '모터의 속도-토크 곡선을 바꾸는 기법'이라고도 볼 수 있다.
그림 4을 보자.파란 선을 보면 모터를 전류가 증가함에 따라 토크도 증가하고, 속도도 높일 수 있게 되었다.예를 들면 모터의 속도-토크 특성에 따르면 6000[RPM]이 최대 속도이다.그런데 6500[RPM]까지 속도를 높여서 운전하고 싶다.이런 경우에 약계자 제어를 사용하게 된다.
그림 4의 오른쪽 그림에서 우측 상단의 회색 영역은 '약계자제어로 인해 사용 불가능해진 영역'이다.빨간색 영역은 '약계자제어로 인해 사용 가능해진 영역'이다.

그렇다면, 약계자제어를 해서 속도-토크 특성을 바꿔서 사용하면 되지 않을까?
이런 생각이 들 수 있다.하지만, 불가능하다.저속에서는 굳이 사용할 필요가 없다.그리고 손실 증가, 이로 인한 과열 위험, 제어의 어려움 등 여러 단점이 있기에, 꼭 필요할 때만 사용하는 편이 좋다.
이전 회사에서는 3000[RPM]이 최대 속도인 상황에서 순시적으로 3500[RPM]을 사용해야 하는 경우가 있었다.그래서 3000[RPM]이상일 때만 D축 전류를 발생시켜서 약계자제어를 적용한 적이 있었다.
모터 제조사가 제공하는 속도-토크 특성으로 사용하되, 속도를 더 높이고 싶을 때 사용하면 된다.
다음 시간에는 MTPA의 수식, 전압제한원, MTPV 등에 대해 알아본다.
| 현대제어 2부 - 속도 관측기 설계 (2) | 2024.06.16 |
|---|---|
| 현대제어 1부 - 관측기의 이해 (2) | 2024.06.10 |
| 고전제어 1부... 현대제어와의 차이 (0) | 2024.06.09 |
| PWM 이해하기 - 2부 (5) | 2024.02.19 |
| PWM 이해하기 (2) | 2024.01.29 |