2024.06.15) 차단주파수와 대역폭의 설명에 설명이 추가되었습니다.
이번 시간에는 전류 제어기의 설계에 대해 알아본다.
내 주된 공부 자료는 "전기기기제어론(설승기 저)"이기 때문에 교과서의 내용을 그대로 적은 부분도 있다.
설명하면서 "대역폭", "게인값 설정", "주파수 해석", "안티 와인드업" 등 무수히 많은 키워드가 나올 예정이다.
전류제어기를 설계하기 전에 모터의 제어기가 전체적으로 어떻게 구성되는지 확인해보자.

제어시스템은 여러 형태가 있지만 이러한 구조의 "캐스케이드(Cascade) 제어" 형태가 일반적으로 사용된다.
위와 같이 다중 구조의 제어 루프를 구성하면 내부 루프에서 발생된 오차를 외부 루프에서 보상해주는 등 지령 응답성이 높아지는 장점이 있다.
또한, 내부 피드백 제어기가 외부 피드백 제어기에 비해 충분히 빠르다면, 각 제어 루프를 독립적으로 설계할 수 있어 설계가 용이하다는 장점을 가진다.
가장 내부에 위치한 전류 제어기가 충분히 빠르지 못할 경우, 외곽에 있는 위치, 속도 제어기의 성능이 개선될 수 없다.
각 제어 루프의 대역폭(Bandwidth)이 근접하게 되면, 직렬 연결된 제어기 간의 상호 간섭에 의해 특성 해석과 설계가 난해해지는 단점이 있다.
(출처: "전기기기제어론(설승기 저)" 4장 제어기 설계)
제어기에 대해 알아봤으니 전기 시스템에 대해 알아보자.
시스템 해석에 앞서 우리는 3상 전동기의 회로 해석이 아닌 DQ 변환을 통한 2상 직류 회로로 해석할 것이기 때문에,
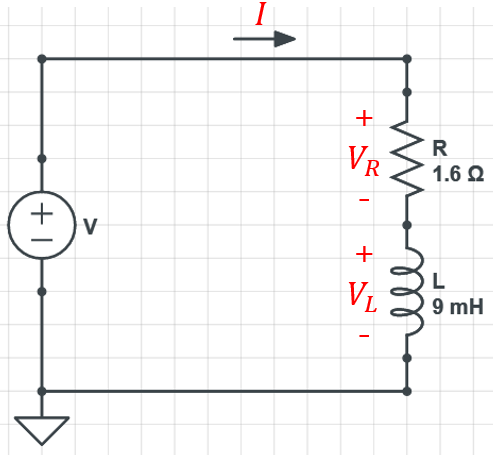
그림 2와 같이 등가회로로 간단하게 표현할 수 있다.
(더 자세한 해석은 이 다음에 실시한다.)
회로는 전압원, 저항, 리액턴스로 나타낼 수 있다.
모터의 고정자는 철심에 권선이 감긴 형태로 이루어져 있다.
권선이 감겨있기 때문에 리액턴스(코일)로 표현 가능하고, 권선은 구리 등 금속으로 이루어져 있고 저항이 존재하기 때문에 저항도 표현되어 있다.
이 권선의 양단에 전압을 걸어주고 전류가 공급되면 모터에 회전자계가 발생하게 된다.

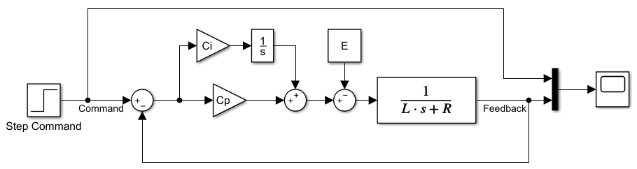
따라서, 전류 제어기가 포함된 전기 시스템은 그림 3으로 나타낼 수 있다.
전기시스템을 요약하면 다음과 같다.
1) 전류 지령과 피드백 전류의 차가 전류제어기의 입력이 되어 전압 지령을 생성한다.
2) 전압 지령은 PWM 과 전력변환소자를 거쳐서 모터의 3상 전기 회로에 입력되어 모터가 회전한다.
3) 모터 권선에 흐르는 3상 전류는 전류 센서를 통해 피드백 전류로 반환한다.
4) 2상 직류 전류로 변환하기 위하여 DQ 변환이 사용되며(인터페이스), 여기에는 전기각이 필요하므로 엔코더 위치값이 사용된다.

자, 전기시스템의 구성을 알아보았으니, 회로를 해석해보자.
회로 해석에는 라플라스 변환을 사용한다.
그림 2의 회로를 시간역에서 나타내면 식(1)이 되고, 이를 라플라스 변환하면 식(2)가 된다.
그림 3에서 전기시스템의 출력은 전동기에 입력되는 전류가 되므로, 입력이 전압이고 출력이 전류인 전달함수로 나타내면 식(3)이 된다.

Cp를 비례게인, Ci를 적분게인으로 하여 PI 제어기를 구성하여 전기시스템을 나타내면 그림 4와 같다.

E는 역기전력으로, 모터가 회전함에 따라 속도에 비례하는 역기전력이 발생한다.
직류 전동기의 관성이 커서 역기전력의 변화가 전류 제어기의 응답에 비해 충분히 느리다면, 역기전력을 상수로 볼 수 있다.
역기전력 E는 토크정수로 얻을 수 있는 값이기 때문에, 모터의 현재 속도를 알면 추정치인 E*를 계산할 수 있게 된다.
따라서, 전류 PI 제어부의 뒤에 역기전력 추정치 E*를 더해주게 되면, 역기전력으로 인한 영향을 상쇄할 수 있다.
아래에서는 역기전력의 영향을 배제하고 PI 제어기의 영점이 전기 시스템의 극점을 상쇄하도록 설계하여, 전기 시스템을 1차 지연 요소와 같이 만들 수 있다.
이를 기술적 최적화(Technical Optimum)이라 한다.
그림 5를 통해 "기술적 최적화" 방법을 설명하도록 한다.
R와 L의 값은 이미 알고 있는 값이기 때문에(사양 또는 측정값), Cp와 Ci의 값의 관계를 적절히 조절하면 블록도가 간단해진다.

Cp와 Ci값을 적절히 선정하면 그림 5처럼 차단주파수가 ωc인 LPF 형태로 나타낼 수 있다.
전류 제어 시스템의 입력이 그대로 출력으로 전달된다는 것이다.
속도제어기를 설명하지 않았지만 먼저 설명하자면,
대역폭이 충분히 넓다면, 속도 제어기의 출력(토크 지령)이 전기 시스템을 거쳐서 기계 시스템에 전달된다는 것이다.
(대역폭은 아래에서 설명한다.)
앞서 설명한 전류 제어기의 게인값을 선정하는 기준은 다음과 같다.

L과 R값을 이미 알고 있는 값이므로, ωc만 값을 선정하면 된다.
원하는 전류 제어기의 주파수 대역을 선정하면 ωc값을 얻을 수 있다.
※ 노이즈에 취약한 모터는 차단주파수를 낮게 설정해야 한다.
요즘 나오고 있는 모터 제조사의 카탈로그를 보면 전류 제어기의 대역폭을 3[kHz] 정도로 나타내고 있다.
그림 6은 파나소닉 MINAS A6 모터 사양서를 발췌했다.
※ 대역폭이란?
제어기가 입력을 얼마나 빠르게 추종할 수 있는지를 나타내는 용어이다.
대역폭이 높다는 것은 제어기가 지령의 변화를 빠르게 대응할 수 있다는 것이다.
그림 6에서 응답 주파수 3.2kHz의 의미를 해석보자.
이 뜻은3.2kHz 이하의 주파수 성분을 가진 명령 신호에 대해서는 전류 제어기가 빠르고 정확하게 반응할 수 있다는 것이다.

기존 A5 모터는 2.5[kHz] 였던 것에 반해 A6 모터에는 3.2[kHz]까지 대역폭을 끌어올렸다.
전류 제어기의 대역폭을 넓히기 위해서는 MCU의 빠른 연산과 함께 PWM 주파수 대역도 커야 한다.
대략 PWM 주파수가 응답 주파수의 10배라고 한다면 32[kHz]일 것이고, 5배라고 한다면 16[kHz]일 것이다.
그렇다면 PWM의 클럭은 몇백[MHz]를 넘을텐데 얼마나 될까..
파나소닉 외에도 야스카와, 산쿄 등 다른 모터 제조사도 3[kHz]까지 대역폭을 넓히는 것을 목표로 세우고 제품을 출시하는 것으로 알고 있고, 여러 회사의 서보 드라이버 사양서를 보면 3[kHz]가 업계 기준인 것 같다.
그 외에도 전류 측정 노이즈를 줄이는 등 HW에서의 신호 처리도 매우 중요한 요소이다.
※ 참고로 대역폭과 차단주파수는 다른 개념이다.
대역폭은 차단주파수보다 클 수 없다.
예를 들어, 전류제어기의 차단주파수를 1kHz로 설정했다면 최대 대역폭은 1kHz이다.
설령 위에서 3.2kHz의 대역폭을 제공하므로 이론상 전류제어기의 차단주파수는 3.2kHz까지 사용 가능하다.
하지만 전류제어기의 차단주파수를 몇으로 설정하는지 제조사에서 제공하지 않아서 알 수 없다.
전류제어기가 노이즈에 취약한 구조를 가지고 있다면 대역폭이 낮아질 수 밖에 없다.
따라서, 3.2kHz의 대역폭을 가진다는 것의 의미는, 전류제어기가 노이즈에 강하다는 것을 강조한다고 봐야 할 것 같다.
그림 2와 그림 4를 참고하여 차단주파수에 따른 응답을 비교해보자.
시뮬레이션에서는 사실상 "차단주파수=대역폭"과 동일한 개념이 될 것이다.
0.2초에 0에서 1000으로 스텝 응답 지령이 변하도록 설정했다.
X축은 시간[sec]이고 y축은 디지털값[digit]이다.
차단주파수 3[kHz]와 1[kHz]를 가정하면 그림 7과 같은 결과를 얻는다.

보통 해석할 때는 스텝 응답으로 분석하는데, 실제 전류 제어기의 지령인 토크 지령값이 그림과 같이 갑작스럽게 변동하는 경우는 거의 없을 것이다.
단지 해석을 위해서만 스텝 응답으로 보는 것인데, 램프 응답으로 보면 그림 8과 같다.
차단주파수 3[kHz]와 1[kHz]인 경우 모두 차이를 보인다.
따라서, 간단하게 스텝 응답으로만 봐도 충분한 것 같다.

차단주파수가 높으면 지령을 더 빠르게 추종하고 대역폭도 늘릴 수 있어 좋다.
하지만, FW와 HW 설계가 뒷받침되어야 하므로 이론상 높게 하면 좋다고만 알고 넘어가자.
대역폭을 높게 하기 위해서는 전류 센싱을 정확하게 하는 방법을 찾아야 한다.
아날로그 혹은 디지털 필터 설계, 전류 센싱 기법(Δ-Σ 변조 또는 AD변환 등)을 적절하게 적용해야 한다.
※ 대역폭을 측정하는 법
전류제어기의 입력 지령에 화이트 노이즈를 섞는다.
그리고 입력과 출력의 응답을 Bode선도로 나타내면 대역폭을 알 수 있다.
전류제어기의 제어주기의 1/5~1/10 정도의 화이트 노이즈를 입력하면 될 것이다.
얻어진 Bode 선도의 형태는 1차 저역 통과 필터의 Bode 선도와 동일한 형태를 띈다.
1차 저역 통과 필터의 차단주파수를 찾는 것과 동일한 과정을 통해 설계된 제어기의 대역폭을 구할 수 있다.
다음 시간에는 "안티 와인드업", "역기전력 추정"에 대해 알아보겠다.
좀 더 복잡한 설명과 해석이 될 것이다.
출처
1) "전기기기제어론(설승기 저)"
| 수식 및 단위 정리 (0) | 2022.12.31 |
|---|---|
| 전류제어기 설계 (2) (0) | 2022.12.22 |
| DQ 변환 - 수식 설명 (13) | 2022.12.05 |
| DQ 변환 - 그림 설명 (7) | 2022.12.04 |
| 회전자계와 벡터제어에 대하여 (1) (0) | 2022.12.04 |