상세 컨텐츠

본문 제목

DQ 변환 - 수식 설명

제어기설계

by Zin9 2022. 12. 5. 00:24

본문

728x90

DQ 변환에 대한 그림 설명을 먼저 보고 오면 이해하는데 도움이 될 것이다.

큰 틀에서 이해를 한 상태에서 수식을 이해하는 것이 좋다.

수식은 나중에 찾아보면 되는 것이니까 전체적인 흐름을 먼저 알아보자.

 

수식만 알고 싶다면 본문 맨 아래에 정리했다.

 

 

DQ 변환 - 그림 설명

3상 교류 전동기를 제어하는데 가장 기본이 되는 DQ 변환(DQ-Transformation)에 대해 알아보자. D는 Direct를 의미하고, Q는 Quadrature를 의미한다. D축은 자속을 발생시키는 축이고, Q축은 토크(회전력)을

zin9.tistory.com

 

DQ 변환이 어떻게 이루어졌는지 이전 글을 통해 알아보았다.

수식을 풀기 전에 DQ 변환에 대한 역사를 알아보고자 한다.

이러한 수학의 역사를 이해하는 것도 매우 중요한 것 같아서 잠시 소개하고자 한다.

수식으로 가려면 밑으로 스크롤을 내려주길 바란다.

 

DQ 변환은 Clarke 변환과 Park 변환이 있다.

Clarke 변환(αβ 변환)은 1937년과 1938년에 Edith Clarke가 논문을 통해 발표했다.
이 변환 기법은 3상 회로의 분석을 간단히 하기 위해 고안되었다.
말 그대로 3상의 교류 파형을 2상의 교류 파형으로 바꾸는 기법이다.

DQ 변환은 1929년 Robert H. Park가 고안한 Clarke 변환과 Park 변환의 곱이다.
이중 2상 교류 파형을 2상 직류 파형으로 바꾸는 기법을 Park 변환이라 한다.

이러한 변환 기법은 거의 100년 전에 고안되었지만, 이 기법을 이용한 벡터 제어(또는 FOC, Field-Oriented Control)는 1970년대 되어서야 처음 개발되었다.
그리고 1980년대에 상용화되었다.
자료를 찾지 못 하겠지만, 1980년대 상용화된 이유는 마이크로프로세서의 발전에 따라 사용 가능한 수준이 되었기 때문이다.
제 아무리 좋은 제어 기법이라 하더라도, 마이크로프로세서를 통해 실제로 구현할 수 없다면 그것은 무의미하다.
실제로 수많은 제어 이론이 고안되고 있지만 실상 PID 제어만 쓰는 이유는 무엇일까?
PID 제어를 써도 충분히 좋은 성능을 낼 수 있는데 굳이 비싼 MCU를 쓸 필요가 없기 때문이다.
그렇다고 엄청 큰 성능 차이를 내지도 않기 때문이기도 하다.

자, 본론으로 들어가서 DQ 변환의 수식을 알아보자.

나는 TI 사의 데이터 시트를 참고했다.

TI MCU가 모터제어에서 표준에 가깝다고 생각하기 때문이다.

전기기기제어론(설승기 저)에도 동일하게 수식 풀이가 이루어진다.

링크는 아래와 같다.

https://www.ti.com/lit/an/bpra048/bpra048.pdf

 

 

<그림 1. dq 회전좌표계와 abc 정지 좌표계>

 

그림 1은 위의 데이터 시트에서 가져왔다.

나는 UVW상으로 설명했지만, 그림에서는 ABC상으로 표시되어 있다.

일관성을 위해 UVW상으로 수식을 풀테니 유의바란다.

 

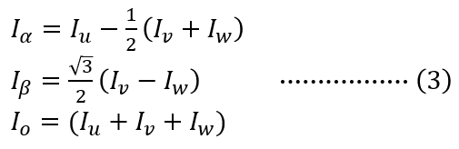
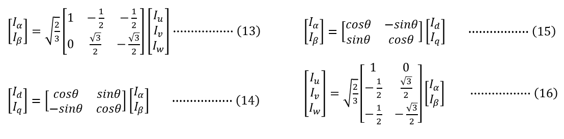
그림 1의 ABC상(UVW상)을 αβo상으로 변환하면 식 (1)과 같다.

이전까지는 αβ상이라 불렀는데 갑자기 αβo상이라니?

o상은 homopolar component라고 부르는데, 보통 이 상의 영향은 거의 없거나 무시되기 때문에 0으로 한다.

그래서 αβ상만 고려한다.

식 (1)을 다시 쓰기 위해 3상 평형을 고려하면 식 (2)와 같이 표현된다.

 

식 (1)을 다시 쓰면 식 (3)와 같이 된다.

식 (3)에서 o상분을 제외하고 정리하면 다음과 같다.

 

식 (4)을 행렬로 표현하면 다음과 같다.

 

그리고 이 때 변환행렬 C를 다음과 같이 정의한다.

 

이 때, 변환행렬 C에 2/3를 곱하게 되면 식 (7)과 같이 된다.

 

이를 그림으로 나타내면 그림 2와 같이 된다.

UVW-αβ 변환을 했음에도 상의 크기가 동일하다.

이 떄의 2/3를 "상 불변 상수"라고 한다.

 

<그림 2. UVW-&alpha;&beta; 변환>

 

그림 2와 같이 UVW상과 αβ상의 크기를 똑같이 한다면 비교하기엔 쉽지만 큰 문제가 발생한다.

그것은 바로 변환 전후의 전력이 동일하지 않다는 것이다.

전압이나 전류의 공간 벡터를 나타내는 행렬을 좌표변환하는 경우, 변환 전후로 전력이 동일하지 않으면 제어에 사용할 수 없다.
변환 전후의 전력을 동일하게 하기위해 상수 k의 값을 적절하게 선정해야 한다.
변환 전 전력을 P, 변환 전 전압을 v, 변환 전 전류를 i, 변환 후 전력을 P`, 변환 후 전압을 v`, 변환 후 전류를 i`라 하면 다음과 같다.
여기에서 T는 전치 행렬을 의미하고, v와 i는 3x1행렬을, v`와 i`는 2x1행렬을 의미한다.
그리고 변환 전후의 관계는 다음과 같다. C는 아래에서 정의한다.
이를 다시 정리하면 다음과 같다.
따라서, 변환행렬 C와 C의 전치행렬의 곱이 2x2 사이즈의 항등행렬이 아니면, 변환 전후의 전력은 동일하지 않다.
변환행렬 C를 식 (1)으로부터 다음과 같이 정의한다.

 

따라서, C와 C의 전치행렬의 곱은 다음과 같이 구해진다.
C와 C의 전치행렬이 항등행렬이 되기 위한, 변환 전후로 전력 불변이 되기 위한 k값은 다음과 같다.

 

우리는 제어를 하기 위해서 상수 k를 다시 정의하여, 식 (7)을 다시 정의할 수 있다.

 

식을 정리하면 아래와 같이 된다.

 

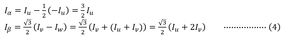
그런데, 왜 Iu와 Iv만으로 Iα와 Iβ를 표현할까?

그것은 서보 드라이버를 설계할 때 전류 센싱을 2개의 상전류만 측정하기 때문이다.

그 이유는 회로 설계 부분에서 설명하도록 한다.

 

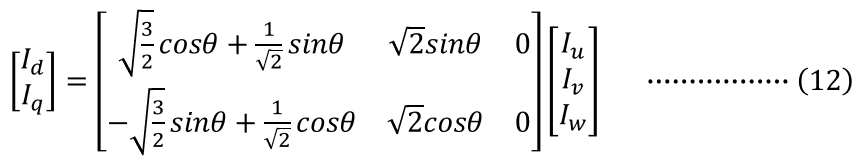
자, 이제 마지막으로 DQ 상으로의 변환만 남았다.

그림 1을 보자.

 

<그림 1. dq 회전좌표계와 abc 정지 좌표계>

 

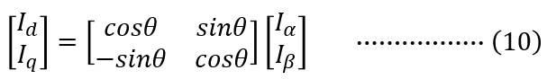
αβ 좌표계와 DQ 좌표계는 θ만큼 차이난다.

행렬로 표현하면 다음과 같다.

 

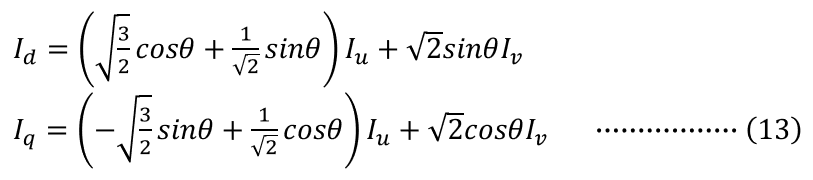
따라서, UVW상에서 DQ상으로의 변환은 다음 식으로 나타낼 수 있다.

 

이를 정리하면 식 (12)가 된다.

 

식 (12)를 풀어쓰면 다음과 같다.

 

이제 변환이 제대로 되었는지 확인할 차례이다.

α축과 Q축의 방향을 동일하게 하여(θ=-90˚) 그림 2에 나타낸다.

<그림 2. 전력 불변에서의 DQ 변환>

 

상크기가 10이었던 UVW 상전류가 αβ상과 DQ상에서는 √(3/2) 만큼 커진 것을 볼 수 있다.

이로써 DQ 변환에 대한 수식 설명과 검증이 끝났다.

역변환은 그 반대이므로 식(9)와 (10)의 변환 행렬을 전치하여 사용하면 된다.

 

 

이거 설명하려고 파이썬에서 애니메이션을 구현하고, GIF 파일로 변환하는 작업까지 했다.

괜히 힘만 뺀 거 같기도 한데, 해놓으니까 그래프를 원하는 대로 나타낼 수 있어서 설명이 편한 점도 있었던 것 같다.

글이 길어서 보기 좋지 않을 수 있을 것 같은데 천천히 손으로 써가면서 본다고 생각하면 좋을 것 같다.

 


내용 정리

식을 간략화해야 하는 상황에서는 위와 같이 DQ 변환을 U, V상만으로 표현하나,

연산처리가 좋은 경우에는 일반적으로 표현하는 방식을 사용하는 편이 이해하기 좋다.

따라서, 본문 내용과 같이 "전력 불변" 방식의 DQ 변환은 아래와 같이 표현한다.

왼쪽은 UVW상에서 DQ상으로의 변환이고, 오른쪽은 그 역변환이다.

 

"상크기 불변"방식의 DQ 변환은 아래와 같이 표현한다.

(이 방식은 Simulink에서 사용하므로 속도 제어기 설계에서 다시 기술한다.)

 

"상크기 불변" 방식과 "전력 불변" 방식이 차이나는 이유를 간단히 보면 다음과 같다.

모든 에너지는 변환 전후로 동일해야 한다.

예를 들어, 손실 전력을 보자.

DQ변환 전과 후의 손실 전력은 동일해야 하므로 식 (21)와 같이 표현할 수 있다.

이 때, 상의 크기만을 비교하면 식(22)와 같이 표현되므로, "전력 불변" 방식의 DQ 변환에서 사용되는 비례상수는 식 (23)으로부터 얻어진다.

즉, DQ 전류의 크기는 UVW 전류의 크기보다 커야 한다.

 

이러한 전력 변환 과정에서 에너지 변환이 동일하지 않으면 모터를 제대로 제어할 수 없게 된다.

728x90

'제어기설계' 카테고리의 다른 글

수식 및 단위 정리  (0) 2022.12.31
전류제어기 설계 (2)  (0) 2022.12.22
전류제어기 설계 (1)  (2) 2022.12.21
DQ 변환 - 그림 설명  (7) 2022.12.04
회전자계와 벡터제어에 대하여 (1)  (0) 2022.12.04

관련글 더보기